our recent work
infectious diseases
G76: Should antibiotic administration be targeted towards all organisms isolated by culture in patients with polymicrobial orthopedic infections?






Oritavancin for Treatment of Osteomyelitis: A Systematic Review and Meta-Analysis of Observational Studies.
Can Oritavancin Be Used for Treatment and/or Suppressive Antimicrobial Therapy of Bone and Joint Infections Caused by Vancomycin-resistant Enterococcus faecium?
behavioral health
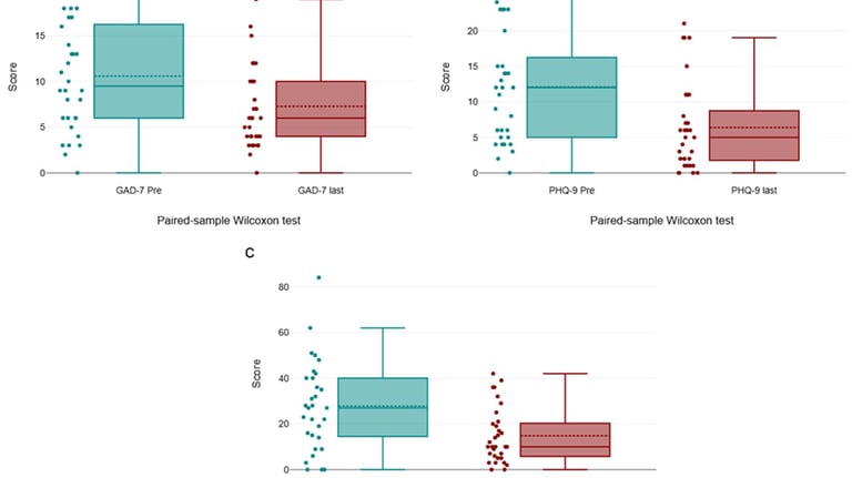
Treating job-related stress with psychedelic group therapy: a case series on group ketamine-assisted psychotherapy for healthcare workers and first responders






Substance use disorder-associated infections’ treatment with dalbavancin enabling outpatient transition (SUDDEN OUT)
Ketamine-Assisted Group Therapy for Work-Related Stress in First Responders and Frontline Health Care Workers
Consulting
Expertise in clinical & research management services:
+1-303-564-5110
© 2025. All rights reserved.
